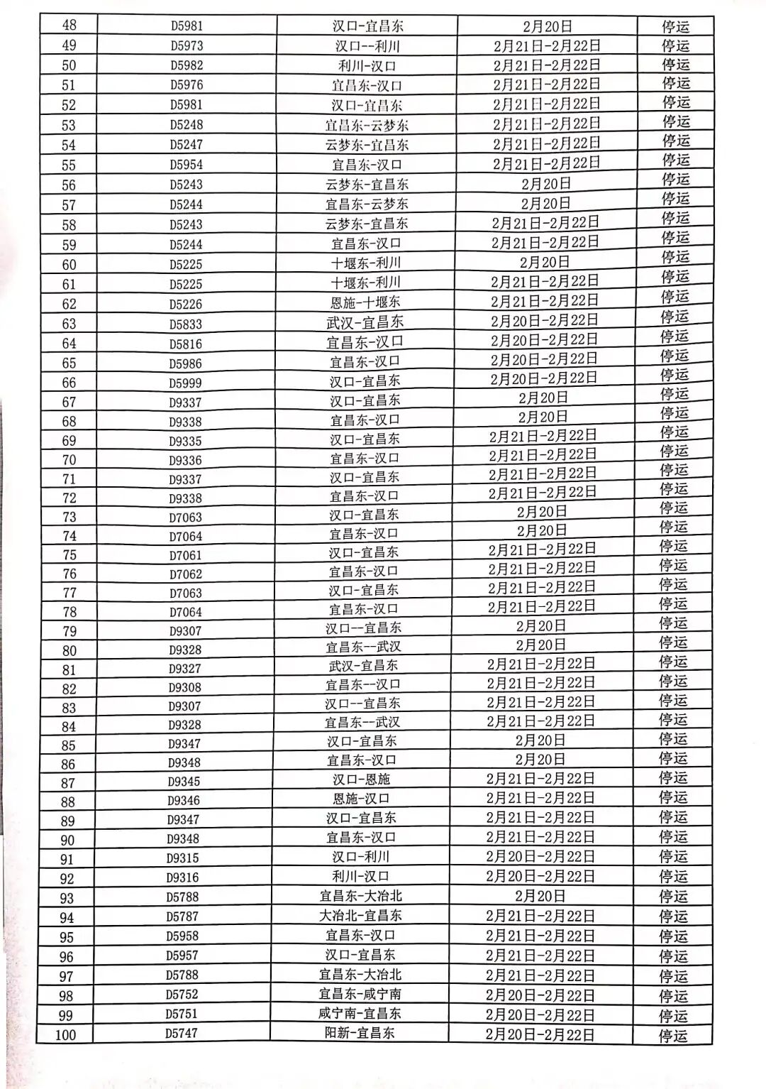
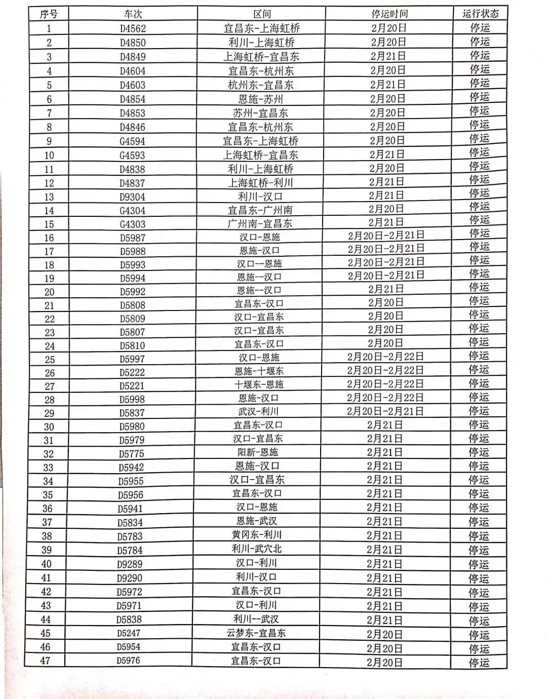
据@武汉铁路 最新消息,根据中央气象台发布的寒潮橙色预警,2月18日至24日,我国大部地区将出现大范围雨雪冰冻天气。为确保旅客出行安全,中国铁路武汉局集团有限公司2月20日计划停运部分列车。
铁路部门将根据天气变化动态调整旅客列车运行方案,以上车次可能继续发生变化。具体情况请旅客随时通过中国铁路12306网站或App、各火车站官方微博等渠道关注动态信息,妥善安排出行。

同时,从宜昌东站获悉
为应对低温冻雨极端天气
2月20日-2月23日
计划开行的137列车临时停运
购买停运列车车票旅客
可在接到通知之时起
至票面乘车日期后30日以内(含当日)
在12306网站、手机12306APP、
车站人工窗口、具有退票功能的自助机
办理退票,不收退票费


